

2023年4月,公司三亚南繁研究院各科研团队共发表高水平论文10篇,其中9篇为JCR 1区;授权国家发明专利2项(辣椒生物学与育种团队:一种下垂辣椒离体再生体系构建的方法;热带水果品质发育调控科技创新团队:一种采后诱导红色芒果着色的方法);获得软件著作权1项(热带水果品质发育调控科技创新团队:基于边缘计算的通用型生境调控系统);获批2023年度海南省国际科技合作研发项目立项1项(代谢生物学团队:全球范围椰子资源的收集评价及早结椰子种质的分子选育),等。

1、植物生殖和单倍体育种团队在种业关键技术——单倍体诱导研究上获得关键突破
李靖团队在顶级期刊《自然植物(Nature Plants)》上发表了相关成果“A simple and highly efficient strategy to induce both paternal and maternal haploids through temperature manipulation”。该团队发现通过灵活操纵生长环境温度可多方面优化母本和父本单倍体诱导效率,为在广泛的作物中推广单倍体诱导技术提供了关键性的线索。
李靖团队发现单倍体诱导系GFP-tailswap的花粉活力和单倍体诱导能力都对环境温度高度敏感。轻微的提高(22℃到25℃)环境温度既可造成GFP-tailswap花粉活力几乎完全丧失,而单倍体诱导能力却显著提升,而降低温度则有完全相反的效应。重要的是温度对诱导效率的影响主要发生于受精后,即独立于对花粉活力的影响。基于这些发现,该团队提出了可以在多个维度优化母本和父本单倍体的产生的有效策略。该研究一方面为将基于CENH3的单倍体诱导系推广到其他作物提供了非常有价值的线索,另一方面为揭示CENH3在维持细胞分裂过程中染色体的精确分离控制和单倍体形成机理这些关键基础生物学问题也提供了关键性线索。该发现先后被中国科学网,科技日报等重要媒体报道。
论文链接:https://www.nature.com/articles/s41477-023-01389-x

图1. Utilizing the yin-yang effects of ambient temperatures to optimize maternal haploid induction.
2、生物多样性与系统发育基因组学团队在空间范围和环境限制如何影响生态位估算物种丰富度的准确性模型方面取得研究进展
王华锋团队在Ecology and Evolution,中科院二区,Q1, IF=3.167发表文章,第一作者为公海gh555000aa线路检测已经毕业的博士Mir Nizamani,公海gh555000aa线路检测王华锋博士和AJ Harris博士为共同通讯。在不同的空间范围内测量物种丰富度可能具有挑战性,特别是在很大程度上,详尽的物种调查是困难的或不可能的。我们的工作旨在确定的可靠性,物种丰富度估计堆叠的生态位模型在不同的空间范围内的分类群体有很大不同的环境依赖性和相互作用。为了实现这一目标,仙人掌科和松科的物种发生在180个已发表的植物区系从北美墨西哥北部的生态位模型。我们将所得到的物种的潜在分布估计覆盖或堆叠在代表180个植物区系的边界框上,以生成物种丰富度的预测。在一般情况下,我们的堆叠模型仙人掌和松科的物种丰富度的预测差。观测值和预测值之间的关系显着改善的空间范围的大小。然而,堆叠模型倾向于过度预测仙人掌科的丰富度和过度和不足预测松科的丰富度。仙人掌类堆积模型的敏感性高于松科,特异性低于松科。我们的结论是,堆叠的生态位模型可能有点差的预测物种丰富度在较小的空间范围内,应谨慎使用。也许更重要的是,补偿其局限性或对其可靠性进行校正的能力可能因分类群而异。

图2. 北美墨西哥北部原生仙人掌科和松科植物的地理分布
3、槟榔黄化病研究团队首次发现黄吹绵蚧壳虫(Icerya seychellarum)携带APV1病毒
槟榔黄化病传播阻断技术研发的关键是找到APV1病毒的传播途径,槟榔研究团队在前期研究中,鉴定了双条拂粉蚧和柑橘棘粉蚧是传播APV1病毒的昆虫介体,但目前不能肯定APV1病毒是否还存在其他传播途径。为此,本团队继续开展APV1病毒传播媒介的鉴定工作。最近,本团队调研发现,槟榔园里面有一种黄色的蚧壳虫也携带APV1病毒(图3-4)。经基因序列比对和形态鉴定,初步将其鉴定为半翅目,硕蚧科,吹绵蚧属的黄吹绵蚧壳虫(Icerya seychellarum)。要确定黄吹绵蚧壳虫是不是APV1病毒传播介体,还需要开展室内传毒试验。

图3. 黄吹绵蚧壳虫(Icerya seychellarum)二龄幼虫

图4. 海南省崖州区槟榔槟榔黄化病叶片和黄吹绵蚧样品APV1病毒RT-PCR检测结果
注:B1、B2、B3、B4为槟榔叶片,H1、H2、H3、H4分别为槟榔树上的黄吹绵蚧壳虫,Maker:D2000,引物为CP-new(1000bp);YLDV5(500bp)。
4、热带作物基因组大数据育种团队在探讨现代各类智能技术如何拉开智慧育种帷幕方面取得进展
近日,夏志强团队在Modern Agriculture期刊上发表题为“Smart breeding driven by advances in sequencing technology”的综述性文章,探讨了通过现代各类智能技术如何拉开智慧育种的帷幕。

近些年,作物育种发生了革命性的变化,从驯化作物到现在利用基因型和表型技术结合,到人工智能推动的智慧育种。智能育种方法将传统育种策略与人工智能、自动化平台和其他相关技术相结合,培育出具有提高产量潜力的品种。随着人工智能的发展、新测序平台的产生、测序技术的进步以及不同学科的交叉,作物育种时代正在不断更新。然而,仍然需要快速培育高产稳定的作物,以适应环境变化和世界人口增长造成的粮食缺口。各种技术已被应用于将人工智能与传统作物育种方法相结合,以设计和改善作物性状。此外,测序和育种技术和思想的不断进步标志着一场新的育种革命的到来。

该研究介绍了不同时代的各种育种工具,从人工选择开始,到后来的分子标记育种,以及与人工智能相结合的智能育种。比较了不同基因分型技术的应用场景、成本效益、物种适宜性、产量、时间和预处理的比较。同时展望了未来人工智能、自动化在育种中的潜力。
5、热带作物基因组大数据育种团队在基于同源四倍体马铃薯基因组的马铃薯自然群体块茎形状和眼深遗传测定研究方面取得进展
热带作物基因组大数据育种团队在“Frontiers in Plant Science”上发表了“Insights into the genetic determination of tuber shape and eye depth in potato natural population based on autotetraploid potato genome”的研究论文。

薯形、芽眼是马铃薯的重要农艺性状,是选育马铃薯加工专用型品种重要的目标性状。研究以370份马铃薯自然群体为材料,通过重测序,对薯形和芽眼深度进行全基因组关联分析。从马铃薯块茎形状GWAS中鉴定到146个显著的SNP位点,染色体1的A1单倍型的34.44 Mb-35.25 Mb以及染色体2的A1单倍型的28.35 Mb-28.54 Mb区域内存在非常强的关联;染色体2的A1单倍型关联区域上存在PLATZ转录因子、UTP-葡萄糖-1-磷酸尿苷基转移酶、FAR1共3候选基因可能与薯块性状有关。从马铃薯块茎芽眼深度GWAS中鉴定出53个显著的SNP位点,其中染色体5的A2单倍型的50.03 Mb-50.39Mb和染色体6的A2单倍型的25.85 Mb -26.39 Mb区域内存在非常强的关联;染色体5的A2单倍型的显著相关区域中发现水解酶和甲基转移酶蛋白,染色体6的A2单倍型的显著关联区域中发现3个CYPs,推测这些基因与芽眼深度密切相关。
6、热带特色果树品质形成与种质创新团队在火龙果溃疡病的病原菌新暗色柱节孢菌研究方面取得进展
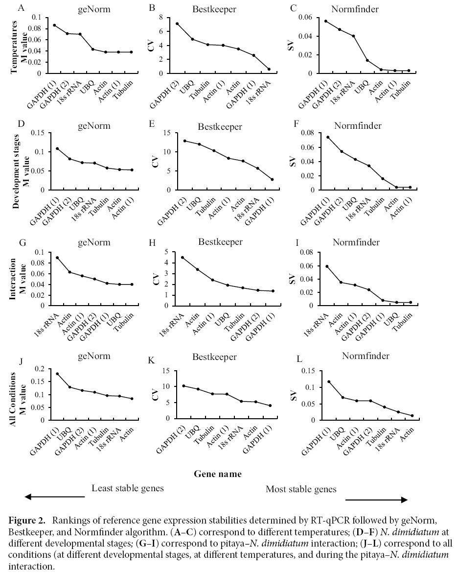
2023年4月,热带特色果树品质形成与种质创新团队以博士研究生王猛为第一作者,汤华教授为通信作者,在Scientific Reports (2022年影响因子/JCR分区:4.379/Q1)上发表了以“Identification of RT-qPCR reference genes suitable for gene function studies in the pitaya canker disease pathogen Neoscytalidium dimidiatum”为题目的研究论文,在该本研究中,研究团队针对火龙果溃疡病的病原菌新暗色柱节孢菌(Neoscytalidium dimidiatum)展开研究。在研究病原菌的致病性基因表达的过程中通常用到RT-qPCR)技术,选择合适的内参基因对于确保RT-qPCR对基因表达水平的准确估计至关重要。本研究使用delta Ct、geNorm、NormFinder和BestKeeper等四种不同的方法分析单个候选内参基因的RT-qPCR数据,对8个候选内参基因(18S rRNA、Actin(1)、Actin(2)、Actin、GAPDH(1)、GAPDH(2)、UBQ、Tubulin) 在不同发育阶段、不同温度下以及与火龙果相互作用过程中,对新暗色柱节孢菌基因表达水平的有效性进行评估。结果表明:除Actin(2)外,所有候选内参基因均适合进行基因表达分析,Tubulin和Actin(1)是不同温度下表达最稳定的内参基因;Actin(1)和Actin是不同发育阶段中表达最稳定的内参基因;Tubulin和UBQ是与火龙果互作时表达最稳定的内参基因;在所有实验条件下,Actin和18s rRNA的表达最稳定。最后以Tubulin和UBQ为内参基因,研究了新暗色柱节孢菌与火龙果互作过程中果胶酶表达的变化。本研究结果将有助于新暗色柱节孢菌的基因差异表达研究。

图5. (A) Diseased stems in a feld plantation; (B) diseased pitaya fruits; (C) morphological characteristics of N. dimidiatum.

图6. Rankings of reference gene expression stabilities determined by RT-qPCR followed by geNorm,Bestkeeper, and Normfnder algorithm.
Note:(A-C) correspond to diferent temperatures; (D-F) N. dimidiatum at diferent developmental stages; (G-I) correspond to pitaya–N. dimidiatum interaction; (J-L) correspond to all conditions at diferent developmental stages, at diferent temperatures, and during the pitaya-N. dimidiatum interaction.
7、热带水果品质发育调控科技创新团队在油茶叶绿体基因组测序分析上取得新进展
热带水果品质发育调控科技创新团队成员陈静博士为第一作者、周开兵教授为通讯作者,4月中旬在forests上发表论文《Synonymous Codon Usage Bias in the Chloroplast Genomes of 13 Oil-Tea Camellia Samples from South China》,在油茶叶绿体基因组(cpDNA)同义密码子使用偏好性特点、形成机理及其科学意义等问题的研究上取得新进展。研究结果表明,油茶cpDNA密码子碱基组成偏好于A、T,且第三位碱基严重偏好于碱基A、T,同工密码子使用偏好性较弱,其主要受选择效应影响,同时突变效应的影响也不可忽视;筛选到28个优势密码子,第三位碱基为U、A、C和G的密码子分别为11、9、7和1个,与高频密码子求交集而筛选出20个最优密码子,第三位为U、A、C和G的密码子分别为11、8、0和1个;基于不同样品cpDNA的同工密码子相对使用度(RSCU)构建不同样品进化树形图,供试样品聚成6类(r2=0.9190,图1),越南油茶和高州油茶应合并为同一个种,海南油茶待定种属于越南油茶。因此,本文研究结果为油茶叶绿体基因表达规律和基因工程技术开发研究奠定了基础,同工密码子偏好性具备种的特异性,可以用于油茶种及其演化关系的鉴定。
论文链接:https://doi.org/10.3390/f14040794

图7. 不同样品基于同工密码子相对使用度(RSCU)的聚类分析
8、辣椒生物学与育种团队获得了空心菜重要的同源四倍体材料并揭示了基因组加倍后基因组DNA甲基化的变化
汪志伟团队近期在《Frontiers in Plant Science》杂志上发表题为《The creation of autotetraploid provides insights into critical features of DNA methylome changes after genome doubling in water spinach (Ipomoea aquatica Forsk)》的研究论文,博士研究生郝园园为第一作者,汪志伟教授为通讯作者,公司三亚南繁研究院为第一单位。本研究通过秋水仙碱成功诱导得到同源四倍体空心菜,与二倍体亲本相比,同源四倍体的叶片更大更厚,茎秆更加粗壮,根系相对粗短;通过全基因组甲基化测序技术(Whole Genome Bisulfite Sequencing,WGBS)构建了同源四倍体和二倍体空心菜DNA甲基化图谱,同源四倍体空心菜的甲基化水平高于二倍体空心菜,TEs的平均甲基化水平远高于基因本体区域。通过比较分析,在同源四倍体和二倍体空心菜中鉴定出12,281个差异甲基化区域,关联到3,355个基因,主要参与RNA降解、植物激素信号转导和植物-病原体相互作用等代谢途径。本研究获得了空心菜重要的同源四倍体材料,揭示了基因组加倍后基因组DNA甲基化的变化,有助于进一步研究空心菜多倍体变异的分子机制。
9、辣椒生物学与育种团队在辣椒中挥发性物质及相关基因研究方面取得进展
汪志伟团队近期在《International Journal of Molecular Science》杂志上发表题为《Analysis of Volatile Aroma Components and Regulatory Genes in Different Kinds and Development Stages of Pepper Fruits Based on Non-Targeted Metabolome Combined with Transcriptome》的研究论文,硕士研究生黄闯为第一作者,成善汉教授为通讯作者,公司三亚南繁研究院为第一单位。本研究通过HS-SPME-GC-MS与转录组联合分析的方法,对辣椒中挥发性物质及相关基因进行研究。研究发现了大量代谢通路相关基因及转录因子可能参与了辣椒香气物质的合成,并对可能参与辣椒香气物质合成的潜在候选基因进行了预测,为后续的功能基因验证提供了依据,为未来与香气相关的辣椒育种提供帮助。
10、热带大豆分子育种创新团队在大豆盐胁迫响应机制方面取得进展
大豆作为重要的农作物,土壤中高盐含量严重的制约其产量的提高。本文主要通过以下几个方面综述了大豆盐胁迫响应机制的研究进展:一、盐胁迫感知、信号传导、离子稳态(Na+/K+)和渗透胁迫调节可能在调节大豆盐胁迫反应中起的重要作用;二、K+离子转运蛋白1(AKT1)、钾通道等反转运蛋白和转运蛋白在盐胁迫响应中的重要性;三、植物激素、渗透保护剂在大豆耐盐中的作用;四、表观遗传修饰对大豆耐盐性的影响;五、组学技术在大豆盐胁迫响应分子开关鉴定和耐盐靶向工程中的研究进展等。本文在综述大豆盐胁迫响应机制的最新研究进展外,同时展望了大豆耐盐分子育种的研究方向。
原文链接:https://doi.org/10.3389/fpls.2023.1162014
11、重要热带作物抗病分子机理与分子育种团队阐明尖孢镰刀菌效应蛋白FSE1调控致病力的分子机制
2023年04月,重要热带作物抗病分子机理与分子育种团队以公司三亚南繁研究院为第一完成单位在中科院二区期刊《Journal of Fungi》(影响因子5.724)上发表研究论文“A Novel Effector, FSE1, Regulates the Pathogenicity of Fusarium oxysporum f. sp. cubense Tropical Race 4 to Banana by Targeting the MYB Transcription Factor MaEFM-Like”。尖孢镰刀菌古巴专化型4号小种(Foc TR4)是引起香蕉枯萎病的主要病菌。对其致病力分子机制的深入研究有助于开发抗病策略。在病原真菌与植物寄主的相互作用中,病原真菌能够分泌多种效应蛋白以操纵植物的防御反应。本研究鉴定到Foc TR4中的一个新的效应蛋白FSE1。通过构建FSE1基因敲除和过表达突变体并进行表型分析,发现FSE1不参与Foc TR4的营养生长和分生孢子的生成,但与病原菌的致病力有关。敲除FSE1会增加病原菌的致病力,而过表达FSE1则会减少致病力。此外,研究还鉴定到了FSE1在香蕉细胞中的的靶标蛋白,即一个MYB类转录因子MaEFM-like。同时,过表达MaEFM-like会引起植物细胞的超敏反应,而FSE1能够抑制MaEFM-like介导的抗病反应。以上结果表明FSE1可能参与调控Foc TR4对寄主的活体寄生。
12、辣椒生物学与育种团队获得1项国家发明专利授权
近期,辣椒生物学与育种团队开发了一种下垂辣椒(Capsicum baccatum)离体再生的方法,发明专利名称:“一种下垂辣椒离体再生体系构建的方法”(专利号:ZL 2022 1 1390003.1),汪志伟教授为第一发明人。下垂辣椒(Capsicum baccatum)与辣椒栽培种:一年生辣椒(Capsicum annuum)、中国辣椒(Capsicum chinense)、灌木状辣椒(Capsicum frutescens)和柔毛辣椒(Capsicum pubescens),遗传差异较远,存在生殖隔离,形态差异也非常明显。目前还未见有中文报道下垂辣椒高效离体再生的相关研究。因此下垂辣椒的离体再生体系构建具有重大意义。本发明公开了一种下垂辣椒外植体诱导再生苗的方法,采用下垂辣椒子叶作为外植体,应用该课题组开发的简化诱导培养基和生根培养基,获得了具有较高诱芽率离体再生苗。本发明方法构建的离体再生体系,为下垂辣椒的遗传转化以及分子育种奠定了基础。

图8. “一种下垂辣椒离体再生体系构建的方法”发明专利授权证书
13、热带水果品质发育调控科技创新团队获1项软件著作权
热带水果品质发育调控科技创新团队成员庞真真副教授及团队研究生获软件著作权《基于边缘计算的通用型生境调控系统》。其中Geek-Fox Smart EC System(简称GFEC-System)作为该系统的控制及功能软件,基于Fox OS 9.0 Embedded Edition 环境框架的自研嵌入式实时系统,集成了环境参数自动采集,边缘计算+AI实时分析,参数交互式可视化、环控执行器自动化控制等组件。主要实现了传感器阵列数据自动读取;环控执行器自动配置与远程操纵;环境参数自动分析计算、交互式可视化与人工智能决策,物联网的通讯与组网等功能。
该系统较好地解决了传统农业环控调节精度、可扩展性与成本三者间的矛盾,提供了一种高性价比、高精度、稳定可靠的农业环控解决方案,有利于促进智能化人工生境模拟装置的发展与应用。


14、热带水果品质发育调控科技创新团队获得1项国家发明专利授权
热带水果品质发育调控科技创新团队获发明专利《一种采后诱导红色芒果着色的方法》一项。本发明提供了一种采后诱导红色芒果着色的方法,着色采用的环境条件包括:温度15~20℃;相对湿度70%~90%;UV-B光强4.2~4.8μW•cm-2,白光光强3500~4500 Lux。本发明方法将青熟期采收未着色的红色芒果置于温度、湿度、光照均可控的环境条件下,连续处理一段时间就可有效诱导花青苷的积累,促进着色,提高芒果的外观品质和商品性。本发明方法设计合理,操作简便,安全有效,对设备要求较低,可以大规模操作,并可示范推广应用于商业化生产。

图11. “一种采后诱导红色芒果着色的方法”发明专利授权证书
15、代谢生物学团队获得2023年度海南省国际科技合作研发项目资助
2023年4月海南省科技厅发布关于2023年国际科技合作研发项目立项的通知,代谢生物学团队罗杰教授主持的全球范围椰子资源的收集评价及早结椰子种质的分子选育项目获得立项资助,资助经费80万元。

图12. 海南省科学技术厅关于2023年国际科技合作研发项目立项的通知

图13. 2023年国际科技合作研发项目立项安排表

1、公司三亚南繁研究院/南繁与热带高效农业协同创新中心热带农业专题研讨会顺利召开
2023年4月5日,公司三亚南繁研究院/南繁与热带高效农业协同创新中心热带农业专题研讨会顺利召开。本次研讨会由南繁与热带高效农业协同创新中心罗杰教授和缪卫国教授共同主持,西北农林科技大学单卫星教授、南京农业大学窦道龙教授、华南农业大学祝钦泷研究员、中国农业大学赖锦盛教授、中国科公司分子植物科学卓越创新中心朱木兰研究员和公海gh555000aa线路检测罗杰教授六位专家与南繁院在崖师生分享了他们在各自领域的最新成果、研究方法和经验。

图14. 各与会教授及专家现场合影
2、公司三亚南繁研究院热作大讲堂——第4期高端学术讲座成功召开
2023年4月14日上午,河南大学李云河教授和公海gh555000aa线路检测热带作物公司夏志辉教授应邀莅临公司三亚南繁研究院,围绕“二化螟与褐飞虱协同应对水稻抗虫防御的生化和分子机制—一个“狼狈为奸”的昆虫故事”和“应用基因改造策略培育广谱抗病水稻”主题,为公司师生带来了两场精彩的学术讲座。本次高端学术讲座由副经理杨小锋主持。
讲座结束后,相关领域师生围绕两位专家报告内容开展热烈的讨论,现场学术气氛浓厚。与会师生表示本次高端学术讲座开拓了科研视野,启迪了对学术问题、方法以及创新应用的思考和研究。

图15. 李云河教授作学术分享(左图);夏志辉教授作学术分享(右图)
3、热带大豆分子育种创新团队李海燕教授参加华中农业大学站2023“女科学家学术与科普”校园行活动并作报告
4月25日,2023年“女科学家学术与科普”校园行活动在华中农业大学作物遗传改良全国重点实验室报告厅举行,中国科公司院士、中国科公司植物研究所研究员匡廷云,中国科公司院士、中国科公司遗传与发育生物学研究所研究员曹晓风、公司教授李海燕等植物学研究领域12位知名女科学家参加了本次活动。华中农业大学党委书记高翅教授、副董事长严建兵教授等出席了活动,公司近500名师生参与了现场学习交流。
李海燕教授做了题为“大豆驯化与生物育种”的报告,她介绍了大豆的栽培、改良历史、产业地位及我国大豆育种现状,并指出,应大力发展大豆生物育种技术,保障我国粮食安全。

图16. 李海燕教授作报告分享(左图);华中农业大学站2023“女科学家学术与科普”校园行活动留影(右图)
4、热带耕地养分资源循环利用与质量保育团队参加农业农村部“果菜茶(荔枝)有机肥替代化肥试点项目”观摩会
4月26日,热带耕地养分资源循环利用与质量保育团队参加农业农村部“果菜茶(荔枝)有机肥替代化肥试点项目”观摩会,项目专家组成员阮云泽教授总结了利用琼山区畜禽粪便和秸秆等农林废弃物资源生产符合荔枝需求的专用有机肥工艺与配方,并通过小区-核心区-推广区的试验结果提出琼山荔枝推荐施肥量、荔枝专用配方肥及适宜的有机肥替代无机的比例等科学施肥技术内容。
观摩会由海口市琼山区农业农村局主办,共计230余人参加了会议。

图17. “果菜茶(荔枝)有机肥替代化肥试点项目”观摩会现场

1、热带大豆分子育种创新团队进行大豆种质资源耐高温表型鉴定工作
本月,热带大豆分子育种创新团队针对不同地区和纬度590份大豆材料进行高温表型鉴定,为后续全基因关联分析挖掘优异基因和品种选育奠定了强有力的基础。

图18. 大豆种质资源耐高温表型鉴定实验基地

1、国家天然橡胶产业技术体系病害防控团队赴国内各植胶区开展病测报技术指导
近年来,橡胶树白粉病在我国植胶区持续爆发流行,严重阻碍橡胶树的健康生长和生产胶乳。每年的冬春季是该病害的流行期,国家天然橡胶产业技术体系病害防控团队于2月份启动了一项为期两个月的橡胶树病害测报技术指导工作。为深入了解各地植胶区的病害防治情况,发现问题并提供技术指导,团队成员们赴云南、广东、海南等多地进行了实地踏查和监测,到访单位达40余家,对当地的白粉病流行情况进行了全面、细致的分析和评估,并根据当地的实际情况,提供了我国各植胶区橡胶树白粉病发展趋势及防治建议简报13期,进行了“橡胶树主要病害监测方法和监测体系建立及防控”培训,培训60余人。

图19. 调研和技术指导现场
2、热带耕地养分资源循环利用与质量保育团队赴保亭和五指山调研赤田水库流域种植业和五指山大叶茶状况
4月27日,热带耕地养分资源循环利用与质量保育团队阮云泽教授和王庆老师前往保亭和五指山调研赤田水库流域种植业和五指山大叶茶状况。赤田水库流域作物产能提升和农民增收是目前保亭县面临的主要问题,通过交流,提出了流域作物产能提升和农民增收的思路和模式,下一步将进一步推动落实。
在五指山市农业农村局局长莫朝伟的带领下,阮云泽教授和王庆老师对大叶茶的种植状况、栽培技术、茶叶产量水平和加工和农民受益等方面进行了调研和交流,初步提出就地收集与利用当地有机废弃物生产大叶茶专用有机肥并研究相应的低碳绿色施肥技术的思路,下一步将依托五指山市乡村振兴投资公司进一步落实与推动。

图20. 调研和交流现场

1、热带大豆分子育种创新团队周永刚博士后被认定海南省D类人才
2023年4月,入驻公司三亚南繁研究院热带大豆分子育种创新团队的周永刚博士后被认定为海南省D类人才。
编辑:史程风 审核人:韩晓燕
签发人:杨小锋